Мы приняли вашу заявку, свяжемся с вами в ближайшее время.
История
История

|
коферменты легко отделяются от ферментного белка и служат переносчиками электронов, отдельных атомов или групп атомов субстрата, превращение которого катализирует данный фермент, т.е. функционируют в качестве промежуточных акцепторов.
АТФ, АДФ, АП5А и АМФ, N-Ацетил-L-Цистеин. |
Наиболее распространенную группу составляют соединения нуклеотидной природы, а также коферменты, содержащие остатки фосфорной кислоты. Адениловые нуклеотиды - аденозин-5-трифосфат (АТФ), аденозин-5-дифосфат (АДФ), Р1,Р5 –ди(аденозин -5-) пентафосфат (АП5А) и аденозин-5-монофосфорной кислоты (АМФ) наряду с их ключевой ролью в обмене энергии участвуют в реакциях переноса и активации орто- и пирофосфатных остатков, аминоацильных групп, остатков неорганических кислот.
|
К важнейшим коферментам нуклеотидной природы относятся никотинамидные коферменты - НАДФ-Н) — в анаболических процессах в качестве восстановителя. |
![]() |
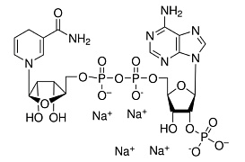
Другим важным переносчиком электронов в окислительных реакциях в клетке является флавинаденин динуклеотид (ФАД), принимающие участие в обмене основных классов органических соединений и играющих важную роль в процессе биологического окисления. Коэнзим А — играет роль в переносе и активировании кислотных остатков в реакциях ацилирования, конденсации, оксидоредукции или гидратации органических кислот. Коэнзим А участвует в реакциях окисления, синтеза жирных кислот, липидов. |
N-Ацетил-L-Цистеин - это модифицированная форма цистеина, которая была присоединена к ацетил группе. Было доказано, что N-Ацетил-L-Цистеин способен увеличивать уровень антиоксиданта глутатиона. Свойства N-Ацетил-L-Цистеин главным образом связаны с его тиоловой группой, которая делает его эффективным в большинстве биохимических путей, где задействован трипептидглутатион. Цистеин находится среди трех аминокислот, содержащих трипептидглутатион, так что N-Ацетил-L-Цистеин считается предшественником трипептидглутатиона с его деацетилированным цистеином. Ацетил-L-Цистеин использовался и по-прежнему широко используется в качестве муколитического агента, когда способ действия в целом относится к окислительно-восстановительному разрушению чувствительных дисульфидных мостиков цистеина в белках слизи.
|
Импорт
Ацетилцистеин, CAS 616-91-1, не менее 98%, (аналог арт. 001855.100 gm, CDH, Индия) |
||||||||||||||||||||||||||||||||||||||||||||||||
|
1968.0025
|
||||||||||||||||||||||||||||||||||||||||||||||||
|
Синонимы: acetylcysteine, LNAC, NAC.
|
||||||||||||||||||||||||||||||||||||||||||||||||
|
Импорт
ФАД- Na₂ (Флавинаденин динуклеотид, FAD- Na₂) динатриевая соль, CAS 84366-81-4, не менее 93% |
||||||||||||||||||||||||||||||||||||||||||||||||
|
1944.0001
|
|
1 г
|
|
29 060, руб.
|
|
|
|
|||||||||||||||||||||||||||||||||||||||||
|
||||||||||||||||||||||||||||||||||||||||||||||||
|
Импорт
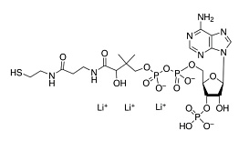
АП5А- Li₃ (Р₁, Р₅ –ди(аденозин -5-)пентафосфат, Ap5A-Li₃) литиевая соль, CAS 75522-97-3, не менее 95% |
||||||||||||||||||||||||||||||||||||||||||||||||
|
1943.0010
|
||||||||||||||||||||||||||||||||||||||||||||||||
|
Синоним(ы): P1,P5-Di(adenosine-5′) pentaphosphate trilithium salt, A(5′)P5(5′)A trilithium salt, Diadenosine pentaphosphate trilithium salt, P1,P5-ди(аденозин-5')пентафосфат трилитиевая соль, A(5')P5(5')трилитиевая соль, трилитиевая соль диаденозина пентафосфата.
|
||||||||||||||||||||||||||||||||||||||||||||||||
|
Импорт
Коэнзим А, CAS 18439-24-2, не менее 85% |
||||||||||||||||||||||||||||||||||||||||||||||||
|
1942.0025
|
||||||||||||||||||||||||||||||||||||||||||||||||
|
||||||||||||||||||||||||||||||||||||||||||||||||
|
1941.0005
|
|
5 г
|
хранение +2...+8°C
|
|
1 066, руб.
|
|
|
|
||||||||||||||||||||||||||||||||||||||||
|
Синоним(ы): аденозин-5'-трифосфат динатриевая соль, ATP, Adenosine 5′-Triphosphate, Disodium Salt.
|
||||||||||||||||||||||||||||||||||||||||||||||||
|
Импорт
АМФ-Na₂ (Аденозин-5-монофосфат, AMP- Na₂) динатриевая соль, CAS 4578-31-8, не менее 95% |
||||||||||||||||||||||||||||||||||||||||||||||||
|
1940.0025
|
||||||||||||||||||||||||||||||||||||||||||||||||
|
Синоним(ы): аденозин-5'-монофосфат динатриевая соль, АМФ динатриевая соль дигидрат, 5′-AMP-Na₂, 5′-AMP-Na2, Adenosine 5′-monophosphate disodium salt.
|
||||||||||||||||||||||||||||||||||||||||||||||||
|
Импорт
АМФ (Аденозин-5-монофосфорной кислоты, AMP), CAS 18422-05-4, не менее 98% |
||||||||||||||||||||||||||||||||||||||||||||||||
|
1939.0001
|
||||||||||||||||||||||||||||||||||||||||||||||||
|
Синоним(ы): Adenosine 5′-monophosphate monohydrate, 5′-AMP, A-5′-P, AMP.
|
||||||||||||||||||||||||||||||||||||||||||||||||
|
1938.0001
|
|
1 г
|
хранение +2...+8°C
|
|
1 356, руб.
|
|
|
|
||||||||||||||||||||||||||||||||||||||||
|
Синонимы: Аденозин-5'-дифосфат динатриевая соль, динатриевая соль 5'-аденозиндифосфата, динатриевая соль 5'-аденозиндифосфата, 5′-ADP-Na₂, Adenosine 5′-diphosphate disodium salt, 5′-ADP-Na₂.
|
||||||||||||||||||||||||||||||||||||||||||||||||
|
1937.0100
|
||||||||||||||||||||||||||||||||||||||||||||||||
|
Синонимы: Adenosine 5′-diphosphate monopotassium salt dihydrate, ADP.
|
||||||||||||||||||||||||||||||||||||||||||||||||
|
1936.0250
|
||||||||||||||||||||||||||||||||||||||||||||||||
|
||||||||||||||||||||||||||||||||||||||||||||||||
|
3371.0001
|
|
1 г
|
хранение +2...+8°C
|
|
2 906, руб.
|
|
|
|
||||||||||||||||||||||||||||||||||||||||
|
||||||||||||||||||||||||||||||||||||||||||||||||
|
1934.0100
|
||||||||||||||||||||||||||||||||||||||||||||||||
|
||||||||||||||||||||||||||||||||||||||||||||||||
|
Merck (Millipore, Sigma-Aldrich, Supelco)
АДФ калиевая соль дигидрат, не менее 95%, bacterial, CAS 72696-48-1 |
||||||||||||||||||||||||||||||||||||||||||||||||
|
A5285-1G
|
|
1 г
|
|
По запросу По запросу |
|
|
|
|||||||||||||||||||||||||||||||||||||||||
|
Товар временно недоступен. Аналоги по запросу ниже. Синонимы: Adenosine 5′-diphosphate monopotassium salt dihydrate, ADP.
|
||||||||||||||||||||||||||||||||||||||||||||||||
|
|
||||||||||||||||||||||||||||||||||||||||||||||||
С помощью личного кабинета Вы сможете:
Сравнение